藤井講師の論文が国際学術誌 Journal of Differential Equations に掲載されました
| 研究分野 | 数理情報科学(非線形偏微分方程式論) |
| 掲載誌 | Journal of Differential Equations |
| 論文題目 | Compressible Navier–Stokes–Coriolis system in critical Besov spaces |
| 著者 | Mikihiro Fujii, Keiichi Watanabe |
| 所属機関 | 名古屋市立大学,公立諏訪東京理科大学 |
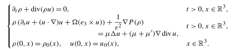
| 概要 | 回転座標系における圧縮性Navier-Stokes方程式の初期値問題の局所適切性を臨界Besov空間の枠組みで考察した.同方程式に対する強解の構成は本研究が初である. |
| 掲載日 | 25 May 2025 |
| DOI | https://doi.org/10.1016/j.jde.2025.02.028 |
| 備考 |

解析対象とする方程式





